港大學者揭示城市綠化對心理健康的「最佳劑量」
「適度為佳」而非「越綠越好」
2025年11月09日
隨著全球各大城市正面臨日益嚴峻的心理健康挑戰,香港大學(港大)研究人員已精準鎖定提升心理福祉的最佳城市綠化水準。最新發表於《Nature Cities》的一項港大研究,綜合分析全球四十年證據,證實綠地暴露與心理健康呈現曲線型(倒U型)劑量-反應關係,挑戰長期以來「越多綠化越好」的假設。
世界衛生組織估計,每八人中就有一人面臨嚴重心理健康問題,但僅有28%的人獲得治療。在此挑戰下,城市綠化作為一項極具潛力的公共衛生干預措施,正日益受到關注。數十年的研究證據表明,綠色環境有助於減輕壓力、焦慮和抑鬱,並提升注意力及認知表現。然而,不同情境與文化背景下的研究結果差異較大,這為城市規劃和設計制定可操作目標帶來了挑戰。「劑量-反應 (dose-response)」關係的具體形態一直未有定論,早期研究多認為其為線性關係,但近年來越來越多的研究指出,綠化與心理健康之間可能存在曲線型關係,即適度綠化可帶來最大益處。
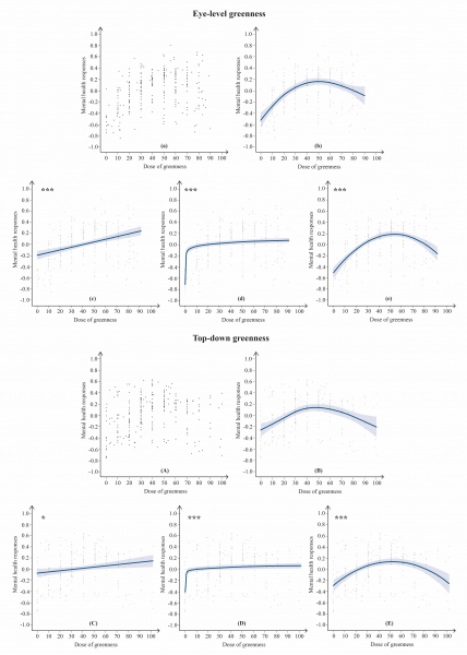
由港大園境建築學部副教授、項目首席研究員姜斌教授領導的跨學科團隊,嚴格遵循PRISMA指引進行系統綜述及元分析,從Scopus、Web of Science及PubMed(1985–2025年)篩選87,761條記錄,選取69條定量劑量-反應曲線——35條人眼視角(276數據點)及34條鳥瞰視角(251數據點)——涵蓋五大洲及十類心理健康結果。團隊運用廣義加性模型(GAM)診斷函數形式,並透過AIC、BIC、p值及調整R²比較線性、冪函數及二次曲線擬合,確認一致的倒U型模式:心理健康隨綠化上升至中等閾值而改善,之後趨平並下降,甚至可能轉為負面。
研究的關鍵閾值為實踐應用提供指引。人眼視角綠化(日常城市導航視野)效益峰值為53.1%,高度有益區間為46.2–59.5%,無不良影響區間為25.3–80.2%。鳥瞰視角綠化(例如衛星樹冠覆蓋)峰值為51.2%,高度有益區間為43.1–59.2%,無不良影響區間為21.1–81.7%。這些模式與基礎理論契合,包括Yerkes–Dodson定律、Hormesis反應及進化與環境心理學洞見,強調中等刺激如何優化人類反應。
研究成果為城市規劃及公共衛生提供轉型指引。城市應針對這些「中等劑量」提升綠化,而非不惜代價地以「最高綠化」為目標,以提升整體效益,並節省資源。研究亦指出,透過這些閾值可見,城市尤其要優先提升街道、步道及公共空間的人眼視角綠化體驗,還可幫助規劃者設定最低標準以保護心理健康,設定適度標準以避免邊際效益遞減,從而實現城市土地與養護資源的更公平、高效分配。
港大副校長(學術發展)、地理系與地球科學系全球可持續發展講座教授、研究團隊成員宮鵬教授表示:「本研究彰顯了環境干預在應對重大城市健康挑戰中的力量,為實現健康、福祉與可持續城市相關的可持續發展目標提供了亟需的證據基礎。通過明確這些規律和閾值,我們賦能城市更高效地利用土地和財政資源,實現綠色基礎設施投資的最優心理健康回報。」
姜教授進一步闡述研究核心發現,以及相關理論與實踐方向:「我們最重要的發現是,綠化與心理健康結果之間存在一條普適的倒U型劑量-反應曲線。這一理論貢獻極為關鍵,有望成為環境心理學和景觀建築領域的規律。」
姜教授強調,本研究對未來城市規劃和公共衛生有兩大重要貢獻:「首先,它打破了『越綠越好』的常識。我們的發現表明,極低或極高的綠化密度均對心理健康不利,適度綠化才是最佳選擇。我們在研究中提供了綠化閾值表,指明了無不良、滿意、高度有益及最佳心理健康效應的綠化水準,這將為規劃和公共衛生專業人員更精準、有效地配置綠地資源提供科學依據。其次,『適度為佳』的發現有助於避免過度投入公共資源建設過多綠地。城市發展需平衡多種用地和公共利益,過度綠化同樣不可取,因為這意味著城市需犧牲住房、公共服務、商業及基礎設施用地,導致社會失衡。對香港而言尤為重要,香港高度重視自然保護,卻讓數百萬人居住在狹小的公寓中。」
港大建築學院城市規劃與發展經濟學講座教授Chris WEBSTER則指出:「本研究有兩大貢獻:一是為曲線型關係提供了堅實、普適的證據,終結了數十年來碎片化、甚至相互矛盾的研究結論;二是將這一規律轉化為可直接指導綠化規劃和景觀設計標準的實際閾值。」
發表於《Nature Cities》期刊的完整論文:https://doi.org/10.1038/s44284-025-00285-z
研究團隊
本研究由姜斌教授領銜,他是美國景觀建築教育者協會(CELA)研究與方法分會前任聯合主席、港大城市環境與人類健康實驗室(UEHH Lab)創始主任、港大城市系統研究院研究員、港大園境建築學部副教授。團隊成員包括港大建築學院園境建築學部講師李嘉立博士;港大地理系、地球科學系、城市系統研究院及氣候與碳中和研究院宮鵬教授;港大建築學院、城市系統研究院Chris Webster教授;倫敦國王學院人口神經科學與分層醫學中心Gunter Schumann教授;港大建築學院景觀建築學部劉雪鳴博士;清邁大學農學院植物與土壤科學系Suppakittpaisarn助理教授。本研究獲得香港特別行政區大學教育資助委員會(UGC)一般研究基金(GRF)No. 17606621資助(姜斌教授為獲資助人),並獲歐盟Horizon Europe項目‘environMENTAL’(101057429)、英國政府Horizon Europe資金保障(10041392和10038599)、中國科技部國家重點研發計劃(MOST 2023YFE0199700)及國家自然科學基金(NSFC 82150710554)支持。
UEHH實驗室
城市環境與人類健康實驗室(UEHH Lab)由姜斌教授創立並擔任主任,致力於為景觀建築及相關領域構建基礎科學知識。實驗室三大使命為:1)推動城市環境與人類健康核心科學知識的發展;2)促進科學與藝術及人文研究的融合;3)通過制定指南、標準和評估,將科學證據明確轉化為實踐。實驗室重點研究各類城市環境,尤其是自然景觀對人類健康與福祉的影響;探索虛擬實境等前沿技術在相關研究中的應用;並推動科學證據有效轉化,指導和支持城市與景觀規劃設計實踐。
更多最新研究動態:https://uehh.hku.hk/
傳媒查詢,請聯繫:
姜斌教授
港大建築學系園境建築學部
港大城市環境與人類健康實驗室
https://uehh.hku.hk/
電郵:jiangbin@hku.hk
電話/Whatsapp:852-55796958